To convert from polar coordinates to Windows screen coordinates (in which y increases from top to bottom, unlike conventional graphs):
To plot the spiral, including both the thin gray coiled line and the integers on it: :
To plot offset curves:
To derive coefficients a, b, c of a quadratic formula from three successive integers i, j, k in a quadratic sequence:
To convert between a composite offset curve of angle n/d (measured in rotations) and its related quadratic function y = ax2 + bx:
To factor an integer on a composite offset curve:
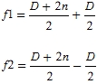
To find factors on a product curve, where D is the difference between factors and n is an integer that varies from zero to infinity:
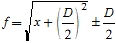
Here is another function for the same purpose, except this one calculates the factors as a function of any real number x on the spiral: